Prijeđite na glavni sadržaj

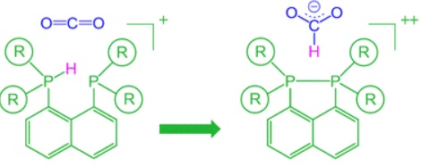
Protonated bisphosphines: a new class of powerful hydride donors capable of CO2 reduction. (Chemical Communication, in print, https://doi.org/10.1039/D5CC06952A)

19.2.2026.

DFT calculations reveal that proton-sponge-like monoprotonated bisphosphines are exceptionally strong hydride donors, in some cases surpassing Super-Hydride. This work establishes a new design principle for metal-free hydride donors and highlights their potential for CO2 reduction.